Абсолютный квантовый гравиметр — это новый тип датчика гравитации, который использует лазер для управления интерференцией свободно падающих атомов в cверхвысоковакуумном резонаторе и извлекает информацию об абсолютном гравитационном ускорении из интерференционных полос. По сравнению с обычным абсолютным гравиметром с падающим телом, атомный гравиметр не имеет механических движущихся частей и может выполнять долгосрочные непрерывные гравитационные наблюдения.
Ключевые технологии в атомном гравиметре разработаны группой ученых в Институте прецизионных измерений, науки и инновационных технологий Китайской Академии Наук. Команда разработала первый атомный гравиметр в Китае в 2010 году. В 2019 году гравиметр принимал участие в 10th International Comparison of Absolute Gravimeters.
Особенности:- Быстрый отклик: отлично подходит для непрерывных измерений без перестройки механической части
- Долгий срок службы: подходит для длительной работы поскольку не имеет механических движущихся частей
- Высокая точность: отклонение абсолютного значения измерения силы тяжести лучше 10 мкГал.
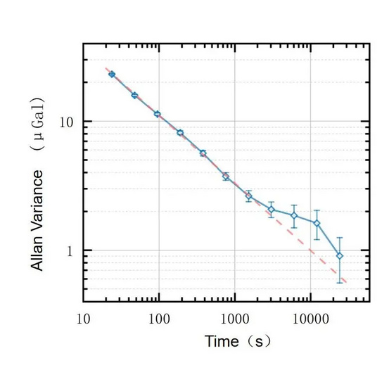
- Хорошая долговременная стабильность: долгосрочная стабильность измерения абсолютной гравитации лучше, чем 2 мкГал.
- Адаптируемость к условиям окружающей среды и стабильность: транспортабельность и простота в регулировке

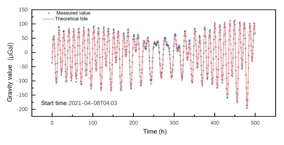
Благодаря отличной стабильности системы, гравиметр может работать непрерывно в течение нескольких месяцев. Поэтому прибор отлично подходит для научных исследований, требующих длительного наблюдения за гравитационным полем Земли.

Отклонение Аллана может выполнять точное извлечение флуктуаций в ряду ошибок измерения в определенной временной шкале. Исходя из графика отклонения Аллана, гравиметр показывает чувствительность около 100 мкГал/Гц1/2 и долговременную стабильность 2 мкГал.